Welcome to the hit TV show, Fermat’s Last Theorem! A quick recap for any Rip Van Winkles out there who missed the last 400 years:

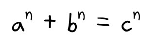
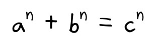
What is this vaunted rule? It asserts that there are no whole-number solutions to this equation (where n is at least 3):

On the surface, it’s a statement about numbers. Yet Wiles proved it using the esoteric geometry of “elliptic forms.”
That’s typical of math: many great breakthroughs are acts of translation. Up against a brain-melting algebraic equation? Turn it into geometry, and watch the intuition bloom. Facing a vexing geometric riddle? Turn it into algebra, and watch it become a clean and easy paint-by-numbers computation.
How do you solve a tough problem? Find a language where it’s easy.
I say all this because I recently came across an out-of-left-field paraphrase of Fermat’s Last Theorem. This statement about numbers—or, if you ask Wiles, geometry—becomes a statement about combinatorics, the mathematics of enumerating combinations. How?
Scenario: You’ve got n objects. Congratulations, collector!

Task: You’re placing your objects into a row of bins. Some bins are red; some are blue; and the rest are colorless, left unpainted.

Now, with enough bins and objects, you’re going to have a lot of choices. All in the first bin; or all in the second; or one in the first and the rest in the second; or two in the first and the rest in the third; and so on, and so on, and so on…

Now, among those arrangements, I want to pick out two kinds. First, there are no-color combos: these “shun” both red and blue, relying only on colorless bins.

Second, there are two-color combos: these “shun” neither color, using at least one red and at least one blue. (They may or may not use some colorless bins, too. Don’t care.)

And what does Fermat’s Last Theorem say? Quite simply, that the number of no-color combos and two-color combos can never, ever be equal.

How’s that for an act of translation? From the austere realm of nonphysical numbers raised to immaterial powers, we have been transported to the kindergarten classroom, where we must put our toys into bins.
And yet nothing has been lost in translation. The heady Platonic question corresponds precisely to this Lego-sorting puzzle.
Here, I’ll show you why.
Let’s call the number of red bins R, the number of blue bins B, and the total number of bins T. Thus, the number of colorless bins is T – R – B.
So, how many no-color combinations are there? Well, we’ve got T – R – B choices for the first object; and T – R – B choices for the second; and T – R – B for the third… so for all n objects, we’ve got a total of (T – R – B)n combinations.

Next up: how many two-color combinations are there? Well, I think of it like this:

Now, suppose that our two values were equal. We’d have:

Now, let c be the total number of bins, let a be the number of non-red bins, and let b be the number of non-blue bins. We are left with:

In other words: Fermat’s Last Theorem!
Now, is this a useful paraphrase? I’m sure it isn’t! We’ve rendered a super-clean statement about numbers as a slightly complicated claim about toy-sorting. It feels a little like translating a haiku into the language of a technical manual.

But something sparkles and catches my eye in this act of translation.
Something special about mathematics.
When we translate works of human art from one language to another, something is always lost. Connotations decay. Idiomatic sense vanishes. New and unintended implications arise. Such translations are deformations; in changing the form, we can’t help changing the content.
Mathematical translations aren’t like that. Nothing is lost. No information is destroyed. Anyone can translate the new statement back into the old one, with no corrosion or corruption of the data.
The logic is perfectly preserved.
And yet, the translated statement feels so different! It sits suddenly in a new context, a different body of literature, from which it can soak up connotations and implications, without losing an ounce of its original sense.
That’s the magic I love. Human translation alters. Mathematical translation only adds.
ADDENDUM: My father, in the comments below, makes a further translation. If you let a = red bins, b = blue bins, and c = colorless bins, then Fermat’s Last Theorem can be translated “the number of no-color combos will never equal the number of monochrome combos,” where a monochrome combo has either all objects in blue bins, or all objects in red bins.
I wish I’d thought of that simplification! (It doesn’t require any of the messy algebra above to verify.) I’m sure W.V. Quine, from whom I learned the original, would feel the same way.
This is an awesome and readable example of how math manages to jump disciplines. I love seeing this kind of stuff. Thanks for posting this kind of thing.
This interpretation of FLT is fascinating. Please tell us where you came across it. Thank you.
Ah, I should have mentioned! It’s in W.V. Quine’s book “Quiddities”
…and J.K. Rowling did a great follow-up to this… er, wait, I may be confused. Nevermind.
Yes. Quiddities through ages was a brilliant book on how mathematics made flying on a line segment the ideal choice rather than a planar structure.
That’s not a Haiku. The pattern of syllables has to be 5 – 7 – 5.
In translation from Japanese! I Googled to find a famous old one
Great post!
Here is an alternative equivalence to Fermat’s Theorem, in the spirit of what you wrote. Let a denote the number of red bins Let b be the number of blue bins. Let c be the number of uncolored bins. Let n be the number of items. Suppose that each bin is distinguishable from the others and each item is distinguishable from the others. Fermat’s Theorem is equivalent to the following:
If there are at least three items, then the number of red combos plus the number of blue combos is not equal to the number of uncolored combos.
It’s very common for serious English-language haiku to have more or less than 17 syllables. In any case, it’s not syllables in Japan, it’s morae (1 syllable = 1 or 2 morae depending on if the vowel is short or long; final -n counts as a separate mora and so does doubling the consonant of the next syllable).
My favorite translation of this one is the admittedly over-terse “Frog – Plop – Splash!”
P is a set
F is a member of P
P is not null set.
Very cool!
“Quite simply, that the number of no-color combos and two-color combos can never, ever be equal”
I suppose you mean as long as n >= 3.
Obviously you mean if n >= 3. For n = 2, why not show some examples? What does the classic 3, 4, 5 translate into?
Good question! In the box-placing case, the 3-4-5 triangle corresponds to…
2 boxes
5 bins
3 “non-red” bins
4 “non-blue” bins
Hence, the bins are: 2 colorless, 1 blue, and 2 red.
Calling the bins 1 (colorless), 2 (colorless), 3 (blue), 4 (red), and 5 (red), then the no-color combinations are:
1, 1 (i.e., both objects in Box 1)
1, 2 (i.e., first object in Box 1 and the second object in Box 2)
2, 1
2, 2
And the two-color combos are…
3, 4
3, 5
4, 3
5, 3
Since there are four of each, the equation is satisfied!
Fermat’s last proof attempt discovered? Simple Calculus view on Fermat’s Last Theorem
https://math.stackexchange.com/q/2717456
“Mathematical translation only adds.”
Paraphrasing Feynman here in his rebuttal to the whole argument of Whitman’s poem about the aged astronomer?
(Speaking of which, that poem always annoyed me, so while we’re on the subject of translations, do let me condense:
“When I beheld the aged astronomer
I didn’t grok what the aged astronomer was talking about
So I decided it was tosh”)