third in a finite series on infinity
(see posts 1 and 2)
Somehow, I suspect I wouldn’t survive long on the frontier.
Drop me in the American West, circa 1850, and I fear my math-blogging and bad-drawing skills might not carry me far. I need indoor plumbing. I need the rule of law. I need chain coffee shops. I’m not cut out for the frontier.
And yet the frontier is exactly where I found myself the other day, when I came across this formula in the wonderful Penguin Book of Curious and Interesting Numbers, by David Wells:
I decided to play around with this product a bit. After all, what are products for, if not playing around?
(Go ahead and play with your Apple products. I’ll play with my infinite ones. We’ll see who has more fun.)
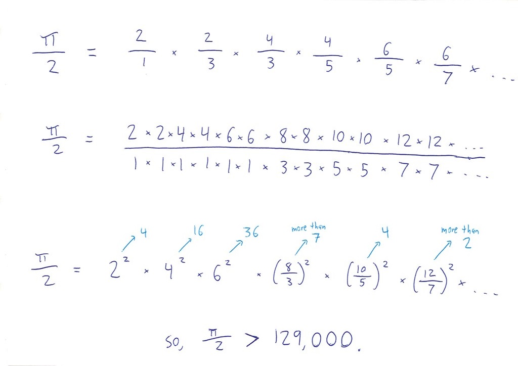
I felt like there should be an easier way to write this expression, exploiting the repetition of factors, so I gave it a shot, and created this:
Then my brain exploded and the universe dissolved around me, because I had just punched logic in the face, and it had punched me back.
The left side of that equation is π/2. It’s roughly 1.57.
The right side of that equation, however, is a product of many numbers—all of them below 1.
What happens when you multiply two numbers smaller than 1? You get another number smaller than 1.
How the heck could that equal 1.57?
Somehow, law had broken down. I was stranded on the frontier, with no cavalry or sheriff to come save me. This was a dispute I’d have to resolve myself, by hook, by crook, or by showdown at high noon.
At this point, I faced three grim possibilities:
- The cool book where I found this formula was wrong.
- Logic was wrong.
- I was wrong.
Pitting my own abilities against (1) those of David Wells and (2) the tensile strength of the fabric of the cosmos, it became pretty clear where the error lay. So I set out to find where I’d gone wrong.
Going back to the original equation, I came up with an alternative way to rewrite it:
This one was clearly greater than 1. (After all, it was an infinitely long product, with each of its factors greater than 1.) Checking a few terms in Excel verified that it was approaching π/2.
Then I found another way to rewrite the original:
This one starts at 2. Then it gets smaller and smaller, by tinier and tinier adjustments. Once again, it seemed to approach π/2.
So what had I done wrong in my original approach?
Soon enough I realized it. I’d made a mistake that seemed perfectly innocuous at the time but had, in fact, contained the seed of my own annihilation. I’d made a move that doesn’t matter with finite products, but which is forbidden with infinite products.
I’d forgotten to multiply by 1.
It perhaps goes without saying, but when you’re working with infinities, you need to be careful. Notation that’s usually harmless can explode like dynamite, making rubble of everything.
Infinity is the frontier. Law breaks down.
Back home, in the realm of finite products, multiplying by 1 makes no difference. 3 x 2 is the same as 3 x 2 x 1 (or as 1 x 3 x 2 x 1 x 1, for that matter). Finite products—that is, lists of factors that eventually end—can be rearranged to your heart’s content.
Not so with infinite products. Just look what else I can do, if I allow myself to play around with 1’s:
Throwing in extra 1’s allows me to rearrange the numerators and denominators virtually however I please. It seems I can make this product as large or as small as I want!
I should also confess that steps like the second one above – where I take a long product of fractions, and turn it into a single fraction with a long product on top and another long product on bottom – are a little dubious in this setting. With finite products? Fine. With infinite ones? Not so much.
In short: the frontier is a strange place.
I’m working here with products, but the same dangers apply with sums. Take this one, called the alternating harmonic series:
This sequence starts at 1.
Then it jumps backwards to ½.
Then it jumps forwards to 5/6.
Then it jumps backwards to 7/12.
Then it jumps forwards to 47/60.
As you go, the sum keeps jumping forwards and backwards, forwards and backwards… but by smaller and smaller steps. Looking carefully, you can see that it’s hovering around a certain destination—a place it will never in our lifetimes reach, but which it approaches.
That point is smaller than 1.
It’s bigger than ½.
It’s smaller than 5/6.
It’s bigger than 7/12.
In fact, it turns out to be roughly 0.693, or more precisely, ln(2).
So far, so good. But what if I rearrange the terms, like this?
We start at 1.
Then we add something positive.
Then we add something else positive.
And so on.
Clearly, the answer has to be larger than 1—which 0.693 is decidedly not. So I’ve changed the result sum, simply by rearranging the terms.
That’s not supposed to happen with addition! 3 + 4 is the same as 4 + 3. Making your family members stand in a different order shouldn’t make your family bigger, smaller, smarter, or taller—it’s the same family, isn’t it?
But with infinite things to add, the order in which you arrange them turns out to matter a great deal. In fact, this sequence can be rearranged to form literally any number you like.
Why do we explore this mathematical frontier? What drives us to abandon the safe coastal cities that we’ve always known, and throw ourselves into the unknown interior of the mathematical continent? Aren’t we afraid? Mightn’t we get eaten by bears, swallowed by rapids, or tangled in paradoxes? Why do we risk it?
Simple: because humans are explorers.
It’s as true of mathematicians as it is of Lewis and Clarke. We want to chart new landscapes, to find fresh challenges, to go where our old ways don’t necessarily help or hold true. We enjoy the thrill of surviving on our wits alone.











After reading this I think I need a lie-down…
Here’s one for you:
In the harmonic series make every third term negative. Convergent or divergent ?
Probably Abnegation.
In all seriousness, though, isn’t it convergent? I seem to remember (though I would have to go do research to be sure) learning that once any infinite number of terms in the harmonic series is made negative, the series converges.
My friend – who likes math! – thought that a*(b*c) = (a*b * a*c), and called it the distributive property until I told her to plug in a=b=c=2.
I think this is one of the failures of math education: people learning/remembering incorrect facts, either because they misinterpreted their teacher in class, or because they remembered wrong later. It’s nothing to be ashamed about. The fault lies with my friend’s teacher, who taught the distributive property as an easily-muddled sequence of symbols, rather than showing it off in a natural way such as chopping a rectangle in half.
This harmonic series fact can’t be true. For example, what if we make the terms 1, 1/2, 1/4, 1/8, 1/16, … negative?
(In all seriousness, infinity is a really confusing subject, and I admit I laughed hard at your Abnegation joke.)
More and more I think the distributive property’s the key to Kingdom of Algebra Making Sense.
And I like that one, Howard! Divergent by my reckoning (bounded below by one third times the harmonic series) but I had no strong intuition going in.
Yeah. I just reread my comment and went, “Well DUH of course it’s still divergent.” Thanks for the note . . . I was honestly in the middle of thinking about other stuff at the time and only gave a moment of attention to Howard’s actual question. Had I had more time and attention, I would have spent more time thinking through it. 😛
Your series on infinity was awesome !
Is there a book you recommend to dive in further in the subject ?
Hmm… I wish I knew something specifically on infinity but nothing comes to mind! Ian Stewart may have something. I suspect Steven Strogatz and Simon Singh devote chapters to it here and there but nothing particular leaps to mind.
you can’t go wrong with ian stewart. i know about those others and even admire them… but stewart’s one of the best ones going. i myself am biased to the old. look for cantor’s bit in _god_created_the_integers_ (any library with a math section worthy of the name, i hope). the big idea: natural-numbers, rational-numbers, “algebraic”-numbers (which, being expanded, means solutions-of-polynomials-having-integer-coefficients; thanks, IU math). all these sets so far? the “first” or “smallest” infinite set. careful investigation proves that there are “bigger” infinite sets. for instance, the set of “points” on the (so-called) Real number line. welcome to the desert of the Real.
but maybe i meant “dessert”.
alt-text?
From Here to Infinity is probably a good choice (although it’s been a while since I read it and it’s on my shelf at home so I can’t suggest a specific chapter or anything — just read the whole thing).
Beyond Infinity by Eugenia Cheng. Amazing book.
https://en.wikipedia.org/wiki/Infinity_and_the_Mind
then there’s this: https://archive.org/details/contributionstot003626mbp
alt-text
i can’t read this ^ part of the thread at all.
is it me?
(TWSS)
alt-text is what I said.
I see the odd factors in the first formula write out each being greater than 1. 2/1; 4/3; 6/5… What am I missing?
Love your artwork! Seriously eye catching.
For more fun, go back to your first panel of computation (right before your brain exploded), and consider the penultimate step, in which the numerator is a product of squares of even numbers. Factor out 2^2, and then “cancel” the denominator with half the factors in the numerator. This yields pi/2 = (2^2)*(2^2)*(4^2)*(6^2)*(8^2)…
Oops, I intended to list a factor of 2^2 for each, but forgot. At any rate, this manipulation yields an strictly increasing infinite product in which each partial product is a positive integer.
The laws all hold, you just didn’t read the fine print! (Also, your blog is great.)
Wow, I didn’t understand much, except there were words, and there were numbers. But I get the point that Math involves looking at numbers in a variety of intriguiging ways. I’m a word nerd, but I love your blog.
Ben, the series of products written out in implied fullness covers up its real nature
The original is
(2/1)*(2/3)*(4/3)*(4/5)*(6/5)*…..
and the infinite product only has meaning as the limit of the partial products of the “terms”
(2/1)
(2/1)*(2/3)
(2/1)*(2/3)*(4/3)
(2/1)*(2/3)*(4/3)*(4/5)
(2/1)*(2/3)*(4/3)*(4/5)*(6/5)
………….
Consequently your rearrangement, even though it has the same numbers in it, is a different infinite product, probably yielding a different limit of partial products.
Yes, that was the entire point of Ben’s post.
I am new to this blog, so perhaps I don’t get Ben’s humor, but he says, “Soon enough I realized it. I’d made a mistake that seemed perfectly innocuous at the time but had, in fact, contained the seed of my own annihilation. I’d made a move that doesn’t matter with finite products, but which is forbidden with infinite products.
I’d forgotten to multiply by 1.”
It really has nothing to do with multiplication by one, and everything to do with creating a new infinite product.
Ben, if you humor is this deep, you are the man, and I am not worthy!
Well, “humor” is probably giving me too much credit, but yeah, I was tickled by presenting the problem as the misapplication of a mundane arithmetic fact (“additional factors of 1 don’t influence a product”) rather than as sloppiness around a more technical point (“this infinite product is a limit of finite products”). Mostly what interests me is how slippery infinite products of fractions are (particularly when written in my not-actually-rigorous “infinite product over infinite product” notation).
This example shows why we should be careful of alternate series. Always.
The order of the numbers does matter in infinite situation – This principle leads me to think of Convey’s surreal number.
Wild recommendation: Grandi’s series and Numberphile’s (http://www.slate.com/blogs/bad_astronomy/2014/01/18/follow_up_the_infinite_series_and_the_mind_blowing_result.html) infinity = -1/12
I’ll leave you with a quote: “Divergent series are the invention of the devil, and it is shameful to base on them any demonstration whatsoever.”—N. H. Abel
Sorry to be late to the party, but I just wanted to remark that by taking logarithms you turn your product into a sum, and the fact that that sum is alternating is then the clue to all troubles and solutions.
And your statement that the innocent-looking operation of multiplying an infinite product by 1s turns into a statement about the innocent-looking operation of adding 0s to an infinite sum!
Of course, taking logarithms of infinite products should come with the same warning as all the other operations that are fine when applied a finite number of times.
Cheers!
wow what a cool article. I think I like penguins.